斗式提升机卸载的方法分为三种型式:
(1)离心式(图2-3);
(2)离心一重力式(图2-4);
(3)重力式(图2-5)。
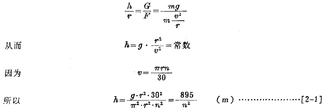
当料斗由直线提升运动变为旋转运动——料斗刚绕上驱动卷筒后,判斗内物料的任一质点同时受到重力G和离心力F的作用。

式中:%一料斗内物料的质量(kg);
の、v一料斗内物料重心的运动速度(弧度/秒、m/sec)学
rー一回转半径,即从料斗内物料的重心m到巻筒中心O的距离(mm);
g-一重力加速度(m/sec²)。

两个力的合力其大小和方向都随着料斗的回转进程而改。延长筒中心线相料斗在任何点就极点到回转mab的相似关系中可以看

式中:%一轴每分钟转数。
可见卷筒转速一定时,极距為也就确定。随着转速れ的增大时,极距ん即减小,此时离心力增大;反之,当%减小时,b值增大,而离心力减小。根据不同的极距值将得到不同的卸载方法。设卷筒半径为2与斗外缘半径为
当h
当r2
当h>r1时即极点处于料斗外缘的圆周外时,重力将比离心力大,而料斗作重力式卸载(图2-5),物料将沿斗的内壁运动。用于卸戟块状、半磨琢性或大磨琢性的物料,料斗运动速度在0,4~0.8米/秒范围内。须配用带有挡边(导向槽)料斗。




